|
Продукция ООО "МЗ "ПОТОК" включена в реестр Российской промышленной продукции в соответствии с ПП РФ № 719 от 17.07.2015г. |
|
СВОД ПРАВИЛ. КАНАЛИЗАЦИЯ. НАРУЖНЫЕ СЕТИ И СООРУЖЕНИЯ
Источник публикации
В данном виде документ опубликован не был.
Первоначальный текст документа опубликован в издании
М.: Минрегион России, 2011.
Примечание к документу
Документ утратил силу полностью с 01.08.2020 в связи признанием утратившим силу
Постановления Правительства РФ от 26.12.2014 N 1521.
Документ утратил силу с 26.06.2019, за исключением пунктов, включенных в Перечень национальных стандартов и сводов правил (частей таких стандартов и сводов правил), в результате применения которых на обязательной основе обеспечивается соблюдение требований Федерального закона "Технический регламент о безопасности зданий и сооружений", утвержденный Постановлением Правительства РФ от 26.12.2014 N 1521, до внесения соответствующих изменений в указанный Перечень, в связи с изданием Приказа Минстроя России от 25.12.2018 N 860/пр, утвердившего новый Свод правил СП 32.13330.2018.
Документ включен в Перечень документов в области стандартизации, в результате применения которых на добровольной основе обеспечивается соблюдение требований Федерального закона от 30.12.2009 N 384-ФЗ "Технический регламент о безопасности зданий и сооружений" (Приказ Росстандарта от 30.03.2015 N 365).
Отдельные положения данного документа включены в Перечень национальных стандартов и сводов правил (частей таких стандартов и сводов правил), в результате применения которых на обязательной основе обеспечивается соблюдение требований Федерального закона от 30.12.2009 N 384-ФЗ "Технический регламент о безопасности зданий и сооружений" (Постановление Правительства РФ от 26.12.2014 N 1521).
О применении данного документа дополнительно см. Письмо Минстроя России от 05.02.2018 N 3708-АЧ/04.
Изменение N 2, утв. Приказом Минстроя России от 24.05.2015 N 308/пр, введено в действие с 25.11.2018.
Утвержден и введен в действие Приказом Министерства регионального развития Российской Федерации (Минрегион России) от 29 декабря 2011 г. N 635/11
СВОД ПРАВИЛ
КАНАЛИЗАЦИЯ. НАРУЖНЫЕ СЕТИ И СООРУЖЕНИЯ
АКТУАЛИЗИРОВАННАЯ РЕДАКЦИЯ
СНиП 2.04.03-85
Sewerage. Pipelines and wastewater treatment plants
СП 32.13330.2012
(в ред. Изменения N 1, утв. Приказом Минстроя России от 30.12.2015 N 986/пр, Изменения N 2, утв. Приказом Минстроя России от 24.05.2018 N 308/пр, Приказа Минстроя России от 25.12.2018 N 860/пр)
ОКС 93.030 Дата введения 1 января 2013 года
ПРЕДИСЛОВИЕ
Цели и принципы стандартизации в Российской Федерации установлены Федеральным законом от 27 декабря 2002 г. N 184-ФЗ "О техническом регулировании", а правила разработки - Постановлением Правительства Российской Федерации от 19 ноября 2008 г. N 858 "О порядке разработки и утверждения сводов правил".
СВЕДЕНИЯ О СВОДЕ ПРАВИЛ
1. Исполнители - ООО "РОСЭКОСТРОЙ", ОАО "НИЦ "Строительство".
2. Внесен Техническим комитетом по стандартизации ТК 465 "Строительство".
3. Подготовлен к утверждению Департаментом архитектуры, строительства и градостроительной политики.
4. Утвержден Приказом Министерства регионального развития Российской Федерации (Минрегион России) от 29 декабря 2011 г. N 635/11 и введен в действие с 1 января 2013 г.
5. Зарегистрирован Федеральным агентством по техническому регулированию и метрологии (Росстандарт). Пересмотр СП 32.13330.2010 "СНиП 2.04.03-85. Канализация. Наружные сети и сооружения".
Информация об изменениях к настоящему своду правил публикуется в ежегодно издаваемом информационном указателе "Национальные стандарты", а текст изменений и поправок - в ежемесячно издаваемых информационных указателях "Национальные стандарты". В случае пересмотра (замены) или отмены настоящего свода правил соответствующее уведомление будет опубликовано в ежемесячно издаваемом информационном указателе "Национальные стандарты". Соответствующая информация, уведомление и тексты размещаются также в информационной системе общего пользования - на официальном сайте разработчика (Минрегион России) в сети Интернет.
ВВЕДЕНИЕ
Актуализация выполнена 000 "РОСЭКОСТРОЙ" и ОАО "НИЦ Строительство", ответственные исполнители: Г.М. Мирончик, А.О. Душко, Л.Л. Меньков, Е.Н. Жиров, С.А. Кудрявцев (ООО "РОСЭКОСТРОЙ"), М.И. Алексеев (СПбГАСУ), Д.А. Данилович (ОАО "МосводоканалНИИПроект"), Р.Ш. Непаридзе (ООО "Гипрокоммунводоканал"), М.Н. Сирота (ОАО "ЦНИИЭП инженерного оборудования"), В.Н. Швецов (ОАО "НИИ ВОДГЕО").
Изменение N 1 к настоящему своду правил выполнено специалистами ООО "РЭСЭКОСТРОЙ". Ответственные исполнители: инж. Е.Н. Жиров, канд. техн. наук Д.Б. Фрог, инж. Г.Э. Иоакимис, инж. А.П. Плешков. Участники работы по внесению изменений: канд. техн. наук Д.И. Привин, канд. техн. наук Л.М. Верещагина (ОАО "НИИ ВОДГЕО"), д-р техн. наук М.И. Алексеев (СПбГАСУ).
(абзац введен Изменением N 1, утв. Приказом Минстроя России от 30.12.2015 N 986/пр)
Изменение N 2 к настоящему своду правил выполнено специалистами АО "НПО Стеклопластик" (канд. техн. наук А.Ф. Косолапов), АНО "Стандарткомпозит" (В.А. Антошин), Объединения юридических лиц "Союз производителей композитов" (С.Ю. Ветохин, А.В. Гералтовский), ООО "НВК Системные инновации" (д-р техн. наук С.В. Бухаров, А.С. Лебедев).
(абзац введен Изменением N 2, утв. Приказом Минстроя России от 24.05.2018 N 308/пр).
Применение на обязательной основе раздела 1 обеспечивает соблюдение требований Федерального закона от 30.12.2009 N 384-ФЗ "Технический регламент о безопасности зданий и сооружений" (Постановление Правительства РФ от 26.12.2014 N 1521).
1. ОБЛАСТЬ ПРИМЕНЕНИЯ
(раздел 1 в ред. Изменения N 1, утв. Приказом Минстроя России от 30.12.2015 N 986/пр)
Настоящий свод правил устанавливает нормы проектирования вновь строящихся и реконструируемых систем наружной канализации постоянного назначения для городских и поверхностных стоков, а также близких к ним по составу производственных сточных вод.
2. НОРМАТИВНЫЕ ССЫЛКИ
Раздел 2 утратил силу с 26.06.2019. - Приказ Минстроя России от 25.12.2018 N 860/пр.
3. ТЕРМИНЫ И ОПРЕДЕЛЕНИЯ
(раздел 3 в ред. Изменения N 1, утв. Приказом Минстроя России от 30.12.2015 N 986/пр)
Раздел 3 утратил силу с 26.06.2019. - Приказ Минстроя России от 25.12.2018 N 860/пр.
4. ОБЩИЕ ПОЛОЖЕНИЯ
4.1 - 4.7. Утратили силу с 26.06.2019. - Приказ Минстроя России от 25.12.2018 N 860/пр.
Применение на обязательной основе пунктов 4.8, 4.9, 4.11, 4.12 обеспечивает соблюдение требований Федерального закона от 30.12.2009 N 384-ФЗ "Технический регламент о безопасности зданий и сооружений" (Постановление Правительства РФ от 26.12.2014 N 1521).
4.8. Производственные сточные воды, подлежащие совместному отведению и очистке с бытовыми сточными водами населенного пункта, должны отвечать действующим требованиям к составу и свойствам сточных вод, принимаемых в систему канализации населенного пункта.
Производственные сточные воды, не отвечающие указанным требованиям, должны подвергаться предварительной очистке. Степень такой очистки должна быть согласована с организацией (организациями), эксплуатирующей систему канализации и очистные сооружения населенного пункта (либо, при отсутствии таковой - с организацией, проектирующей данную систему канализации).
4.9. Запрещается предусматривать сброс в водные объекты (включая подземные) не очищенных до установленных нормативов сточных вод, за исключением сточных вод организованно отводимых с селитебных территорий и площадок предприятий первой группы согласно положениям 7.3.2.
(п. 4.9 в ред. Изменения N 1, утв. Приказом Минстроя России от 30.12.2015 N 986/пр)
4.10. Утратил силу с 26.06.2019. - Приказ Минстроя России от 25.12.2018 N 860/пр.
4.11. На очистные сооружения должна отводиться наиболее загрязненная часть поверхностного стока, которая образуется в периоды выпадения дождей, таяния снега и от мойки дорожных покрытий в количестве не менее 70% среднегодового объема стока [3].
(п. 4.11 в ред. Изменения N 1, утв. Приказом Минстроя России от 30.12.2015 N 986/пр)
4.12. Поверхностные сточные воды с территорий промышленных зон, строительных площадок, складских хозяйств, автохозяйств, а также особо загрязненных участков, расположенных на селитебных территориях городов и населенных пунктов (бензозаправочные станции, автостоянки, автобусные станции, торговые центры), перед сбросом в дождевую канализацию или централизованную систему коммунальной канализации должны подвергаться очистке на локальных очистных сооружениях.
4.13 - 4.21. Утратил силу с 26.06.2019. - Приказ Минстроя России от 25.12.2018 N 860/пр.
5. РАСЧЕТНЫЕ РАСХОДЫ ГОРОДСКИХ СТОЧНЫХ ВОД. ГИДРАВЛИЧЕСКИЙ РАСЧЕТ КАНАЛИЗАЦИОННЫХ СЕТЕЙ. УДЕЛЬНЫЕ РАСХОДЫ, КОЭФФИЦИЕНТЫ НЕРАВНОМЕРНОСТИ И РАСЧЕТНЫЕ РАСХОДЫ СТОЧНЫХ ВОД
5.1. Общие указания
Применение на обязательной основе пунктов 5.1.1 - 5.1.10 обеспечивает соблюдение требований Федерального закона от 30.12.2009 N 384-ФЗ "Технический регламент о безопасности зданий и сооружений" (Постановление Правительства РФ от 26.12.2014 N 1521).
5.1.1. При проектировании систем канализации населенных пунктов расчетное удельное среднесуточное (за год) водоотведение бытовых сточных вод от жилых зданий следует принимать равным расчетному удельному среднесуточному (за год) водопотреблению согласно СП 31.13330 без учета расхода воды на полив территорий и зеленых насаждений.
5.1.2. Удельное водоотведение для определения расчетных расходов сточных вод от отдельных жилых и общественных зданий при необходимости учета сосредоточенных расходов следует принимать согласно СП 30.13330.
5.1.3. Количество сточных вод промышленных предприятий и коэффициенты неравномерности их притока следует определять по технологическим данным с анализом водохозяйственного баланса в части возможного водооборота и повторного использования сточных вод, при отсутствии данных - по укрупненным нормам расхода воды на единицу продукции или сырья либо по данным аналогичных предприятий.
Из общего количества сточных вод предприятий следует выделять расходы, принимаемые в канализации населенного пункта или другого водопользователя.
5.1.4. Удельное водоотведение в неканализованных районах следует принимать 25 л/сут на одного жителя.
5.1.5. Расчетный среднесуточный расход сточных вод в населенном пункте следует определять как сумму расходов, устанавливаемых по 5.1.1 - 5.1.4.
Количество сточных вод от предприятий местной промышленности, обслуживающих население, а также неучтенные расходы допускается (при обосновании) принимать дополнительно в размере соответственно 6 - 12% и 4 - 8% суммарного среднесуточного водоотведения населенного пункта (при соответствующем обосновании).
5.1.6. Расчетные суточные расходы сточных вод следует принимать как произведение среднесуточного (за год) расхода по 5.1.5 на коэффициенты суточной неравномерности, принимаемые согласно СП 31.13330.
5.1.7 Расчетные общие максимальные и минимальные расходы сточных вод с учетом суточной, часовой и внутричасовой неравномерности следует определять по результатам компьютерного моделирования систем водоотведения, учитывающих графики притока сточных вод от зданий, жилых массивов, промпредприятий, протяженность и конфигурацию сетей, наличие насосных станций и т.д., или по данным фактического графика водоподачи при эксплуатации аналогичных объектов.
При отсутствии указанных данных допускается принимать общие коэффициенты (максимальный и минимальный) по таблице 1.
(п. 5.1.7 в ред. Изменения N 1, утв. Приказом Минстроя России от 30.12.2015 N 986/пр)
Таблица 1
Расчетные общие максимальные и минимальные расходы сточных вод с учетом суточной, часовой и внутричасовой неравномерности
|
Общий коэффициент неравномерности притока сточных вод |
Средний расход сточных вод, л/с |
||||||||
|
5 |
10 |
20 |
50 |
100 |
300 |
500 |
1000 |
5000 и более |
|
|
Максимальный при 1% обеспеченности |
3,0 |
2,7 |
2,5 |
2,2 |
2,0 |
1,8 |
1,75 |
1,7 |
1,6 |
|
Минимальный при 1% обеспеченности |
0,2 |
0,23 |
0,26 |
0,3 |
0,35 |
0,4 |
0,45 |
0,51 |
0,56 |
|
Максимальный при 5% обеспеченности |
2,5 |
2,1 |
1,9 |
1,7 |
1,6 |
1,55 |
1,5 |
1,47 |
1,44 |
|
Минимальный при 5% обеспеченности |
0,38 |
0,46 |
0,5 |
0,55 |
0,59 |
0,62 |
0,66 |
0,69 |
0,71 |
|
Примечания. 1. Общие коэффициенты притока сточных вод, приведенные в таблице, допускается принимать при количестве производственных сточных вод, не превышающем 45% общего расхода. 2. При средних расходах сточных вод менее 5 л/с максимальный коэффициент неравномерности принимается 3. 3. 5%-ная обеспеченность предполагает возможное увеличение (уменьшение) расхода в среднем 1 раз в течение суток, 1% - 1 раз в течение 5 - 6 сут. 4. 5%-ная обеспеченность принимается для определения расходов при наибольшей степени наполнения труб в соответствии с таблицей 2. 1%-ная обеспеченность принимается при полном наполнении труб, а также должна учитываться при определении объемов приемных резервуаров насосных станций. |
|||||||||
|
(примечание 4 введено Изменением N 1, утв. Приказом Минстроя России от 30.12.2015 N 986/пр) |
|||||||||
5.1.8. Расчетные расходы для сетей и сооружений при подаче сточных вод насосами следует принимать равными производительности насосных станций.
5.1.9. При проектировании водоотводных коммуникаций и сооружений для очистки сточных вод следует рассматривать технико-экономическую целесообразность и санитарно-гигиеническую возможность усреднения расчетных расходов сточных вод.
5.1.10. Сооружения канализации должны быть рассчитаны на пропуск суммарного расчетного максимального расхода (определенного по 5.1.7) и дополнительного притока поверхностных и грунтовых вод, неорганизованно поступающего в самотечные сети канализации через неплотности люков колодцев и за счет инфильтрации грунтовых вод.
Величина дополнительного притока qad, л/с, определяется на основе специальных изысканий или данных эксплуатации аналогичных объектов, а при их отсутствии - по формуле
где L - общая длина самотечных трубопроводов до рассчитываемого сооружения (створа трубопровода), км;
md - величина максимального суточного количества осадков, мм (по СП 131.13330).
Проверочный расчет самотечных трубопроводов и каналов поперечным сечением любой формы на пропуск увеличенного расхода должен осуществляться при наполнении 0,95 высоты.
5.2. Гидравлический расчет канализационных сетей
Подраздел 5.2 утратил силу с 26.06.2019. - Приказ Минстроя России от 25.12.2018 N 860/пр.
5.3. Наименьшие диаметры труб
Подраздел 5.3 утратил силу с 26.06.2019. - Приказ Минстроя России от 25.12.2018 N 860/пр.
5.4. Расчетные скорости и наполнения труб и каналов
Подраздел 5.4 утратил силу с 26.06.2019. - Приказ Минстроя России от 25.12.2018 N 860/пр.
5.5. Уклоны трубопроводов, каналов и лотков
Подраздел 5.5 утратил силу с 26.06.2019. - Приказ Минстроя России от 25.12.2018 N 860/пр.
6. КАНАЛИЗАЦИОННЫЕ СЕТИ И СООРУЖЕНИЯ НА НИХ
6.1. Общие указания
Подраздел 6.1 утратил силу с 26.06.2019. - Приказ Минстроя России от 25.12.2018 N 860/пр.
6.2. Повороты, соединения и глубина заложения трубопроводов
Подраздел 6.2 утратил силу с 26.06.2019. - Приказ Минстроя России от 25.12.2018 N 860/пр.
6.3. Смотровые колодцы
Подраздел 6.3 утратил силу с 26.06.2019. - Приказ Минстроя России от 25.12.2018 N 860/пр.
6.4. Перепадные колодцы
Подраздел 6.4 утратил силу с 26.06.2019. - Приказ Минстроя России от 25.12.2018 N 860/пр.
6.5. Дождеприемники
Подраздел 6.5 утратил силу с 26.06.2019. - Приказ Минстроя России от 25.12.2018 N 860/пр.
6.6. Дюкеры
Подраздел 6.6 утратил силу с 26.06.2019. - Приказ Минстроя России от 25.12.2018 N 860/пр.
6.7. Переходы через дороги
Применение на обязательной основе пунктов 6.7.1, 6.7.2 обеспечивает соблюдение требований Федерального закона от 30.12.2009 N 384-ФЗ "Технический регламент о безопасности зданий и сооружений" (Постановление Правительства РФ от 26.12.2014 N 1521).
6.7.1. Пересечение трубопроводами железных дорог I, II и III категорий на перегонах и автомобильных дорог I и II категорий должны осуществляться в футлярах.
(в ред. Изменения N 1, утв. Приказом Минстроя России от 30.12.2015 N 986/пр)
Под железнодорожными путями и автодорогами других категорий допускается прокладка трубопроводов без футляров, причем напорные трубопроводы необходимо предусматривать из стальных или стеклокомпозитных труб, а самотечные - из чугунных или стеклокомпозитных.
(в ред. Изменения N 2, утв. Приказом Минстроя России от 24.05.2018 N 308/пр)
6.7.2. Места переходов через железные и автомобильные дороги должны быть согласованы с соответствующими организациями в установленном порядке.
При разработке проекта перехода следует учитывать перспективу укладки дополнительных путей.
6.7.3 - 6.7.8. Утратили силу с 26.06.2019. - Приказ Минстроя России от 25.12.2018 N 860/пр.
6.8. Выпуски и ливнеотводы
6.8.1. Утратил силу с 26.06.2019. - Приказ Минстроя России от 25.12.2018 N 860/пр.
Применение на обязательной основе пункта 6.8.2 обеспечивает соблюдение требований Федерального закона от 30.12.2009 N 384-ФЗ "Технический регламент о безопасности зданий и сооружений" (Постановление Правительства РФ от 26.12.2014 N 1521).
6.8.2. Места расположения выпусков должны быть согласованы с органами санитарно-эпидемиологического надзора и охраны рыбных запасов, а на судоходных участках - с органами управления флотом.
6.8.3* - 6.8.4. Утратили силу с 26.06.2019. - Приказ Минстроя России от 25.12.2018 N 860/пр.
6.9. Вентиляция сетей
Подраздел 6.9 утратил силу с 26.06.2019. - Приказ Минстроя России от 25.12.2018 N 860/пр.
6.10. Сливные станции
Подраздел 6.10 утратил силу с 26.06.2019. - Приказ Минстроя России от 25.12.2018 N 860/пр.
6.11. Снегоплавильные пункты
Подраздел 6.11 утратил силу с 26.06.2019. - Приказ Минстроя России от 25.12.2018 N 860/пр.
7. ДОЖДЕВАЯ КАНАЛИЗАЦИЯ. РАСЧЕТНЫЕ РАСХОДЫ ДОЖДЕВЫХ ВОД
7.1. Условия отведения поверхностного стока с селитебных территорий и площадок предприятий
Применение на обязательной основе пункта 7.1.1 обеспечивает соблюдение требований Федерального закона от 30.12.2009 N 384-ФЗ "Технический регламент о безопасности зданий и сооружений" (Постановление Правительства РФ от 26.12.2014 N 1521).
7.1.1. На очистные сооружения должен отводиться поверхностный сток с городских территорий, отличающихся значительной величиной нагрузки от загрязняющих веществ, т.е. от промышленных зон, районов многоэтажной жилой застройки с интенсивным движением автотранспорта и пешеходов, крупных транспортных магистралей, торговых центров, а также сельских населенных пунктов. При этом отведение поверхностного стока с промышленных площадок и жилых зон через дождевую канализацию должно исключать поступление в нее хозяйственно-бытовых сточных вод и промышленных отходов.
7.1.2 - 7.1.10. Утратили силу с 26.06.2019. - Приказ Минстроя России от 25.12.2018 N 860/пр.
7.2. Определение среднегодовых объемов поверхностных сточных вод
Подраздел 7.2 утратил силу с 26.06.2019. - Приказ Минстроя России от 25.12.2018 N 860/пр.
7.3. Определение расчетных объемов поверхностных сточных вод при отведении на очистку
Подраздел 7.3 утратил силу с 26.06.2019. - Приказ Минстроя России от 25.12.2018 N 860/пр.
7.4. Определение расчетных расходов дождевых и талых вод в коллекторах дождевой канализации
Подраздел 7.4 утратил силу с 26.06.2019. - Приказ Минстроя России от 25.12.2018 N 860/пр.
7.5. Определение расчетных расходов поверхностного стока при отведении на очистку и в водные объекты
Подраздел 7.5 утратил силу с 26.06.2019. - Приказ Минстроя России от 25.12.2018 N 860/пр.
Применение на обязательной основе раздела 7.6 обеспечивает соблюдение требований Федерального закона от 30.12.2009 N 384-ФЗ "Технический регламент о безопасности зданий и сооружений" (Постановление Правительства РФ от 26.12.2014 N 1521).
7.6. Качественная характеристика поверхностного стока с селитебных территорий и площадок промпредприятий
7.6.1. Степень и характер загрязнения поверхностного стока с селитебных территорий и площадок предприятий различны и зависят от санитарного состояния бассейна водосбора и приземной атмосферы, уровня благоустройства территории, а также гидрометеорологических параметров выпадающих осадков: интенсивности и продолжительности дождей, предшествующего периода сухой погоды, интенсивности процесса весеннего снеготаяния.
7.6.2. Примерный состав поверхностного стока для различных участков водосборных поверхностей селитебных территорий приведен в таблице 16. Наиболее загрязненным по всем показателям является талый сток, который по значению показателя БПК20 приближается к неочищенным хозяйственно-бытовым сточным водам.
Таблица 16
Примерные значения концентраций в дождевом и талом стоках для различных участков водосборных поверхностей селитебных территорий
|
Тип участка |
Дождевой сток |
Талый сток |
||||
|
Взвешенные вещества, мг/дм3 |
БПК5, мг O2/дм3 |
Нефтепродукты, мг/дм3 |
Взвешенные вещества, мг/дм3 |
БПК5, мг O2/дм3 |
Нефтепродукты, мг/дм3 |
|
|
Участки селитебной территории с высоким уровнем благоустройства и регулярной механизированной уборкой дорожных покрытий (центральная часть города с административными зданиями, торговыми и учебными центрами) |
400 |
30 |
8 |
2000 |
50 |
20 |
|
Современная жилая застройка |
650 |
40 |
12 |
2500 |
70 |
20 |
|
Магистральные улицы с интенсивным движением транспорта |
1000 |
60 |
20 |
3000 |
85 |
25 |
|
Территории, прилегающие к промышленным предприятиям |
2000 |
65 |
18 |
4000 |
110 |
25 |
|
Кровли зданий и сооружений |
< 20 |
< 10 |
0,01 - 0,7 |
< 20 |
< 10 |
0,01 - 0,7 |
|
Территории с преобладанием индивидуальной жилой застройки; газоны и зеленые насаждения |
300 |
40 |
< 1 |
1500 |
70 |
< 1 |
7.6.3. Поверхностный сток с территории промышленных предприятий имеет более сложный состав и определяется характером основных технологических процессов, а концентрация примесей зависит от вида поверхности водосбора, санитарно-технического состояния и режима уборки территории, эффективности работы систем газо- и пылеулавливания, организации складирования и транспортирования сырья, промежуточных и готовых продуктов, а также отходов производства.
(в ред. Изменения N 1, утв. Приказом Минстроя России от 30.12.2015 N 986/пр)
На крупных предприятиях, включающих различные производства, поверхностный сток с отдельных территорий по составу примесей может заметно отличаться от стока с других участков и общего стока, что должно учитываться при разработке технологии очистки и схемы его отведения.
7.6.4. В зависимости от состава примесей, накапливающихся на промышленных площадках и смываемых поверхностным стоком, промышленные предприятия и отдельные их территории можно разделить на две группы:
к первой группе относятся предприятия и производства, территория которых по составу ближе к поверхностному стоку с селитебных территорий;
ко второй группе относятся предприятия, на которых по условиям производства не представляется возможным в полной мере исключить поступление в поверхностный сток специфических веществ с токсичными свойствами или значительных количеств органических веществ, обуславливающих высокие значения показателей ХПК и БПК5 стока.
7.6.5. Для сокращения объема талых вод, отводимых на очистку, а также снижения производительности очистных сооружений на территории населенных пунктов в зимний период необходимо предусматривать организацию уборки и вывоза снега с депонированием на "сухих" снегосвалках, либо его сброс в снегоплавильные камеры с последующим отводом талых вод в канализационную сеть и далее на сооружения очистки (6.11.1 - 6.11.12).
Применение на обязательной основе раздела 7.7 обеспечивает соблюдение требований Федерального закона от 30.12.2009 N 384-ФЗ "Технический регламент о безопасности зданий и сооружений" (Постановление Правительства РФ от 26.12.2014 N 1521).
7.7. Очистка поверхностного стока селитебных территорий и площадок предприятий
7.7.1. Степень очистки поверхностного стока с селитебных территорий и площадок предприятий определяется условиями приема его в системы водоотведения города или условиями выпуска в водные объекты. При повторном использовании в системах производственного водоснабжения очищенный поверхностный сток должен отвечать технологическим требованиям, предъявляемым потребителями, и быть безопасным в санитарно-эпидемиологическом отношении.
7.7.2. Схема очистных сооружений поверхностных вод должна разрабатываться с учетом его качественной и количественной характеристик, фазово-дисперсного состояния примесей, требуемой степени очистки и принятой схемы его сбора и регулирования.
7.7.3. Поверхностные сточные воды содержат загрязняющие компоненты природного и техногенного происхождения в различном фазово-дисперсном состоянии, поэтому для обеспечения требуемого эффекта очистки необходимо применять многоступенчатые схемы очистки, включающие в себя различные методы их выделения и (или) деструкции.
7.7.4. При отведении поверхностного стока в водный объект или при повторном его использовании в системе производственного водоснабжения диктующими (приоритетными) показателями при выборе технологической схемы очистки являются содержание взвешенных веществ, БПК (ХПК) и нефтепродуктов, иммобилизованных на грубодисперсных примесях или присутствующих в свободном состоянии (в виде пленки), в эмульгированном или растворенном виде. Отведение стоков в водный объект требует соблюдения положений [4] и [5].
(п. 7.7.4 в ред. Изменения N 1, утв. Приказом Минстроя России от 30.12.2015 N 986/пр)
7.7.5. При соответствующем обосновании для очистки и доочистки поверхностного стока селитебных территорий и площадок предприятий могут быть использованы технологии, сооружения и установки, применяемые для очистки бытовых и производственных сточных вод. При этом проектирование и расчет сооружений следует производить в соответствии с требованиями нормативных документов и технической документации, а также с учетом специфики поверхностного стока (нестационарность по расходу, качественному составу и концентрациям загрязняющих компонентов по времени). Проектировать новые и реконструировать уже имеющиеся сооружения необходимо с учетом особенностей использованных технических решений, а также по рекомендациям разработчиков этих сооружений.
(п. 7.7.5 в ред. Изменения N 1, утв. Приказом Минстроя России от 30.12.2015 N 986/пр)
7.7.6. Выбор метода очистки поверхностного стока, а также тип и конструкция очистных сооружений (открытые или закрытые) определяются их производительностью, необходимой степенью очистки по приоритетным показателям загрязнения и гидрогеологическими условиями (наличием территории под строительство, рельефом местности, уровнем грунтовых вод и т.д.).
7.7.7. В технологических схемах очистки поверхностного стока на сооружениях любой производительности необходимо предусматривать технические решения по организации удаления осадков и всплывающих веществ.
7.8. Сооружения для регулирования поверхностного стока
Подраздел 7.8 утратил силу с 26.06.2019. - Приказ Минстроя России от 25.12.2018 N 860/пр.
8. НАСОСНЫЕ И ВОЗДУХОДУВНЫЕ СТАНЦИИ
8.1. Общие указания
Применение на обязательной основе пункта 8.1.1 обеспечивает соблюдение требований Федерального закона от 30.12.2009 N 384-ФЗ "Технический регламент о безопасности зданий и сооружений" (Постановление Правительства РФ от 26.12.2014 N 1521).
8.1.1. Насосные станции по надежности действия подразделяются на три категории, указанные в таблице 17.
Таблица 17
Категории насосных станций
|
Категория надежности действия |
Характеристика режима работы насосных станций |
|
Первая |
Не допускается перерыва или снижения подачи сточных вод |
|
Вторая |
Допускается перерыв в подаче сточных вод не более 6 ч либо снижение ее в пределах, определяемых надежностью системы водоснабжения населенного пункта или промпредприятия |
|
Третья |
Допускающие перерыв подачи сточных вод не более суток (с прекращением водоснабжения населенных пунктов при численности жителей до 5000) |
8.1.2. Утратил силу с 26.06.2019. - Приказ Минстроя России от 25.12.2018 N 860/пр.
8.2. Насосные станции
Применение на обязательной основе пункта 8.2.1 обеспечивает соблюдение требований Федерального закона от 30.12.2009 N 384-ФЗ "Технический регламент о безопасности зданий и сооружений" (Постановление Правительства РФ от 26.12.2014 N 1521).
8.2.1. Насосы, оборудование и трубопроводы следует выбирать в зависимости от расчетного притока и физико-химических свойств сточных вод или осадков, высоты подъема и с учетом характеристик насосов и напорных трубопроводов, а также очередности ввода в действие объекта.
Компоновка и обвязка оборудования должны обеспечивать возможность замены агрегатов, арматуры и отдельных узлов без остановки работы станции. Число резервных насосов следует принимать по таблице 18.
Примечания. 1. Производительность насосных станций перекачки дождевых вод необходимо принимать с учетом незатопляемости пониженных территорий при установленном периоде однократного переполнения сети, регулирования стока и допустимого периода откачки.
2. В насосных станциях первой категории надежности действия при невозможности обеспечения электропитания от двух источников допускается устанавливать резервные насосные агрегаты с двигателями внутреннего сгорания, тепловыми и др., а также автономные источники электроэнергии (дизельные электростанции и т.п.).
3. При необходимости перспективного увеличения производительности заглубленных насосных станций допускается предусматривать возможность замены насосами большей производительности или устройство резервных фундаментов для установки дополнительных агрегатов.
Таблица 18
Требования к числу резервных насосных агрегатов на насосных станциях различной категории и типа перекачиваемой жидкости
|
Бытовые и близкие к ним по составу производственные сточные воды |
Агрессивные сточные воды |
||||
|
Число насосов |
|||||
|
рабочих |
резервных при категории надежности действия |
рабочих |
резервных при любой категории надежности действия |
||
|
первой |
второй |
третьей |
|||
|
1 |
1 и 1 на складе |
1 |
1 |
1 |
1 и 1 на складе |
|
2 |
1 и 1 на складе |
1 |
1 |
2 - 3 |
2 |
|
3 и более |
2 |
2 |
1 и 1 на складе |
4 |
3 |
|
- |
- |
- |
- |
5 и более |
Не менее 50% |
|
Примечания. 1. В насосных станциях дождевой канализации резервные насосы, как правило, предусматривать не требуется, за исключением случаев, когда аварийный сброс в водные объекты невозможен. 2. При реконструкции, связанной с увеличением производительности насосных станций перекачки бытовых сточных вод третьей категории надежности действия, допускается не устанавливать резервные агрегаты с хранением их на складе. 3. В насосных станциях бытовых и близких к ним по составу производственных сточных вод, оборудованных погружными насосами погружной и (или) сухой установки числом 3 и более, допускается хранить второй резервный насос на складе. |
|||||
8.2.2 - 8.2.18. Утратили силу с 26.06.2019. - Приказ Минстроя России от 25.12.2018 N 860/пр.
Применение на обязательной основе пунктов 8.2.19, 8.2.20 обеспечивает соблюдение требований Федерального закона от 30.12.2009 N 384-ФЗ "Технический регламент о безопасности зданий и сооружений" (Постановление Правительства РФ от 26.12.2014 N 1521).
8.2.19. Резервуары производственных сточных вод, содержащих горючие, легковоспламеняющиеся, взрывоопасные или летучие токсичные вещества, должны быть отдельно стоящими. Расстояние от наружной стены этих резервуаров должно быть не менее: 10 м - до зданий насосных станций, 20 м - до других производственных зданий, 100 м - до общественных зданий.
8.2.20. Резервуары производственных агрессивных сточных вод должны быть отдельно стоящими. Допускается их размещение в машинном зале.
(в ред. Изменения N 1, утв. Приказом Минстроя России от 30.12.2015 N 986/пр)
Число резервуаров должно быть не менее двух при непрерывном поступлении сточных вод. При периодических сбросах допускается предусматривать один резервуар, при условии обеспечения возможности проведения ремонтных работ.
8.2.21 - 8.2.24. Утратили силу с 26.06.2019. - Приказ Минстроя России от 25.12.2018 N 860/пр.
8.3. Воздуходувные станции
Подраздел 8.3 утратил силу с 26.06.2019. - Приказ Минстроя России от 25.12.2018 N 860/пр.
9. ОЧИСТНЫЕ СООРУЖЕНИЯ
9.1. Общие указания
Применение на обязательной основе пунктов 9.1.1, 9.1.2, 9.1.4, 9.1.9 обеспечивает соблюдение требований Федерального закона от 30.12.2009 N 384-ФЗ "Технический регламент о безопасности зданий и сооружений" (Постановление Правительства РФ от 26.12.2014 N 1521).
9.1.1. Степень очистки сточных вод, сбрасываемых в водные объекты, должна отвечать требованиям действующего законодательства в области охраны окружающей среды, а повторно используемой - санитарно-гигиеническим и технологическим требованиям потребителя.
9.1.2. Исходные данные для проектирования развития и реконструкции существующих очистных сооружений следует принимать на основании полученных должным образом результатов контроля расхода и свойств поступающих сточных вод за период не менее 3 лет, с учетом перспективного развития населенного пункта.
Для расчетов сооружений необходимо использовать релевантные (адекватные решаемой задаче) значения исходных данных, учитывающие специфику данного сооружения и параметры, влияющие на его работу.
Расчетные расходы отдельных сооружений необходимо определять с учетом их технологических особенностей (время пребывания, гидравлический режим) и рекомендаций настоящего свода правил.
В качестве расчетных исходных данных следует использовать:
массовую нагрузку по загрязняющему веществу (кг/сут или т/сут), определяемую как произведение расхода сточных вод за сутки на концентрацию данного загрязняющего вещества в эти сутки;
расход сточных вод;
концентрации загрязняющих веществ в сточных водах, определяемые как отношение релевантных нагрузок к соответствующим им значениям расходов.
(в ред. Изменения N 1, утв. Приказом Минстроя России от 30.12.2015 N 986/пр)
Выбранные исходные данные должны обеспечивать расчетные показатели очистных сооружений с обеспеченностью не менее 85% применительно к среднесуточной (24-часовой) пропорциональной пробе.
Релевантные нагрузки для сооружений биологической очистки следует рассчитывать в соответствии с 9.2.5.11.
9.1.3. Утратил силу с 26.06.2019. - Приказ Минстроя России от 25.12.2018 N 860/пр.
9.1.4. В технологических расчетах реконструкции существующих сооружений очистки городских сточных вод, работающих по самотечной гидравлической схеме, допускается принимать значение суточного расхода с обеспеченностью 97%. С этой целью в качестве расчетного суточного расхода допускается принимать максимальное за 3 года ежесуточных наблюдений значение расхода поступающих сточных вод, за вычетом из рассмотрения первых десяти максимальных за каждый год наблюдений значений (кроме приходящихся на 30 - 31 декабря и 30 - 31 августа).
9.1.5 - 9.1.8. Утратили силу с 26.06.2019. - Приказ Минстроя России от 25.12.2018 N 860/пр.
9.1.9. Все сточные воды поселений, отводимые в водные объекты, должны подвергаться биологической очистке от органических загрязнений. При очистке сточных вод объектов с периодическим пребыванием с ЭЧЖ до 500 условных жителей по согласованию с контролирующими органами допускается использование физико-химической очистки с последующей доочисткой.
9.1.10 - 9.1.18. Утратили силу с 26.06.2019. - Приказ Минстроя России от 25.12.2018 N 860/пр.
9.2. Сооружения и оборудование механической очистки сточных вод
9.2.1. Оборудование для предварительного процеживания
Подраздел 9.2.1 утратил силу с 26.06.2019. - Приказ Минстроя России от 25.12.2018 N 860/пр.
9.2.2. Сооружения для отделения песка
Подраздел 9.2.2 утратил силу с 26.06.2019. - Приказ Минстроя России от 25.12.2018 N 860/пр.
9.2.3. Усреднители
Подраздел 9.2.3 утратил силу с 26.06.2019. - Приказ Минстроя России от 25.12.2018 N 860/пр.
9.2.4. Сооружения осветления сточных вод
Подраздел 9.2.4 утратил силу с 26.06.2019. - Приказ Минстроя России от 25.12.2018 N 860/пр.
9.2.5. Сооружения биологической очистки
Подраздел 9.2.5 утратил силу с 26.06.2019. - Приказ Минстроя России от 25.12.2018 N 860/пр.
9.2.6. Биологические фильтры (биофильтры)
Подраздел 9.2.6 утратил силу с 26.06.2019. - Приказ Минстроя России от 25.12.2018 N 860/пр.
9.2.7. Аэротенки
Подраздел 9.2.7 утратил силу с 26.06.2019. - Приказ Минстроя России от 25.12.2018 N 860/пр.
9.2.8. Биореакторы с прикрепленной биопленкой
Подраздел 9.2.8 утратил силу с 26.06.2019. - Приказ Минстроя России от 25.12.2018 N 860/пр.
9.2.9. Сооружения для илоотделения
Подраздел 9.2.9 утратил силу с 26.06.2019. - Приказ Минстроя России от 25.12.2018 N 860/пр.
9.2.10. Сооружения для глубокой очистки сточных вод
Подраздел 9.2.10 утратил силу с 26.06.2019. - Приказ Минстроя России от 25.12.2018 N 860/пр.
9.2.11. Обеззараживание сточных вод
Подраздел 9.2.11 утратил силу с 26.06.2019. - Приказ Минстроя России от 25.12.2018 N 860/пр.
9.2.12. Сооружения для насыщения очищенных сточных вод кислородом
Подраздел 9.2.12 утратил силу с 26.06.2019. - Приказ Минстроя России от 25.12.2018 N 860/пр.
9.2.13. Сооружения для очистки сточных вод малой производительности
Подраздел 9.2.13 утратил силу с 26.06.2019. - Приказ Минстроя России от 25.12.2018 N 860/пр.
9.2.14. Сооружения для обработки осадка сточных вод
Применение на обязательной основе пункта 9.2.14.1 обеспечивает соблюдение требований Федерального закона от 30.12.2009 N 384-ФЗ "Технический регламент о безопасности зданий и сооружений" (Постановление Правительства РФ от 26.12.2014 N 1521).
9.2.14.1. Осадки, образующиеся в процессе очистки сточных вод (песок из песколовок, осадок первичных отстойников, избыточный активный ил и др.), должны подвергаться обработке с целью обезвоживания, стабилизации, снижения запаха, обеззараживания, улучшения физико-механических свойств, обеспечивающих возможность их экологически безопасной утилизации или размещения (хранения или захоронения) в окружающей среде.
9.2.14.2 - 9.2.14.58. Утратили силу с 26.06.2019. - Приказ Минстроя России от 25.12.2018 N 860/пр.
10. ЭЛЕКТРООБОРУДОВАНИЕ, ТЕХНОЛОГИЧЕСКИЙ КОНТРОЛЬ, АВТОМАТИЗАЦИЯ И СИСТЕМЫ УПРАВЛЕНИЯ
10.1. Общие указания
10.1.1, 10.1.2. Утратили силу с 26.06.2019. - Приказ Минстроя России от 25.12.2018 N 860/пр.
Применение на обязательной основе пункта 10.1.3 обеспечивает соблюдение требований Федерального закона от 30.12.2009 N 384-ФЗ "Технический регламент о безопасности зданий и сооружений" (Постановление Правительства РФ от 26.12.2014 N 1521).
10.1.3. Наложение аварии в системах по сбору, транспортированию и очистке сточных вод и (или) электроснабжения и (или) автоматики учитываться не должно.
10.1.4 - 10.1.15. Утратили силу с 26.06.2019. - Приказ Минстроя России от 25.12.2018 N 860/пр.
10.2. Технологическая часть
10.2.1 - 10.2.8. Утратили силу с 26.06.2019. - Приказ Минстроя России от 25.12.2018 N 860/пр.
Применение на обязательной основе пункта 10.2.9 обеспечивает соблюдение требований Федерального закона от 30.12.2009 N 384-ФЗ "Технический регламент о безопасности зданий и сооружений" (Постановление Правительства РФ от 26.12.2014 N 1521).
10.2.9. При дистанционном управлении должен быть предусмотрен предупредительный и/или световой сигнал и выключатель безопасности, устанавливаемый в непосредственной близости от механизма для предотвращения внезапного запуска этого механизма.
10.2.10 - 10.2.15. Утратили силу с 26.06.2019. - Приказ Минстроя России от 25.12.2018 N 860/пр.
10.3. АСУТП и диспетчеризация
Подраздел 10.3 утратил силу с 26.06.2019. - Приказ Минстроя России от 25.12.2018 N 860/пр.
10.4. Слаботочные системы
Подраздел 10.4 утратил силу с 26.06.2019. - Приказ Минстроя России от 25.12.2018 N 860/пр.
11. ТРЕБОВАНИЯ К СТРОИТЕЛЬНЫМ РЕШЕНИЯМ И КОНСТРУКЦИЯМ ЗДАНИЙ И СООРУЖЕНИЙ
11.1. Генплан и объемно-планировочные решения
Применение на обязательной основе пунктов 11.1.1, 11.1.2, 11.1.4 обеспечивает соблюдение требований Федерального закона от 30.12.2009 N 384-ФЗ "Технический регламент о безопасности зданий и сооружений" (Постановление Правительства РФ от 26.12.2014 N 1521).
11.1.1. Выбор площадок для строительства сооружений канализации, планировку, застройку и благоустройство их территории выполнять в соответствии с технологическими требованиями, указаниями СП 42.13330 и общими требованиями СП 31.13330.
Планировочные отметки площадок канализационных сооружений и насосных станций, размещаемых на прибрежных участках водотоков и водоемов, следует принимать не менее чем на 0,5 м выше максимального горизонта паводковых вод с обеспеченностью 3% с учетом ветрового нагона воды и высоты наката ветровой волны, определяемой согласно СП 38.13330.
11.1.2. Территория очистных сооружений канализации населенных пунктов, а также промышленных предприятий, располагаемых за пределами промышленных площадок, во всех случаях должна быть ограждена. Тип ограждения необходимо выбирать с учетом местных условий. В необходимых случаях для отдельных сооружений следует предусматривать ограждения в соответствии с правилами техники безопасности.
Поля фильтрации и поглощения допускается не ограждать.
11.1.3. Утратил силу с 26.06.2019. - Приказ Минстроя России от 25.12.2018 N 860/пр.
11.1.4. Здания и сооружения канализации необходимо принимать не ниже II степени огнестойкости и относить ко II классу ответственности, за исключением иловых площадок, полей фильтрации, биологических прудов, регулирующих емкостей, канализационных сетей и сооружений на них, которые следует относить к III классу ответственности и степень огнестойкости которых не нормируется.
Огнестойкость конструкций отдельно стоящих емкостных сооружений, не содержащих жидкостей с пожароопасными или пожаровзрывоопасными примесями, не ограничивается.
11.1.5 - 11.1.11. Утратили силу с 26.06.2019. - Приказ Минстроя России от 25.12.2018 N 860/пр.
11.2. Отопление и вентиляция
Применение на обязательной основе пунктов 11.2.1, 11.2.2 обеспечивает соблюдение требований Федерального закона от 30.12.2009 N 384-ФЗ "Технический регламент о безопасности зданий и сооружений" (Постановление Правительства РФ от 26.12.2014 N 1521).
11.2.1. Необходимый воздухообмен в производственных помещениях следует рассчитывать по количеству вредных выделений от оборудования, арматуры и коммуникаций. Количество вредных выделений необходимо принимать по данным технологической части проекта.
При отсутствии таких данных следует использовать данные натурных обследований аналогичных действующих сооружений. Для сооружений, которым нет аналогов, допускается рассчитывать количество воздуха по кратности воздухообмена по таблице 22.
Таблица 22
Значения температуры и кратности воздухообмена для различных зданий и помещений на сооружениях канализации
|
Здания и помещения |
Температура воздуха для проектирования систем отопления, °C |
Кратность воздухообмена в 1 ч |
|
|
приток |
вытяжка |
||
|
1. Канализационные насосные станции (машинные залы) для перекачки: |
|
|
|
|
а) бытовых и близких к ним по составу производственных сточных вод и осадка |
5 |
По расчету на удаление теплоизбытков, но не менее 3 |
|
|
б) производственных взрывоопасных сточных вод |
5 |
См. примечание 2 |
|
|
2. Приемные резервуары и помещения решеток насосных станций для перекачки: |
|
|
|
|
а) бытовых и близких к ним по составу производственных сточных вод и осадка |
5 |
5 |
5 |
|
б) производственных агрессивных или взрывоопасных сточных вод |
5 |
См. примечание 2 |
|
|
3. Воздуходувная станция |
5 |
По расчету на удаление теплоизбытков |
|
|
4. Здания решеток |
5 |
5 |
5 |
|
5. Биофильтры (аэрофильтры) в зданиях |
См. примечание 3 |
По расчету на удаление влаги |
|
|
6. Аэротенки в зданиях |
То же |
То же |
|
|
7. Метантенки: |
|
|
|
|
а) насосная станция |
5 |
12 |
12 |
|
|
|
плюс аварийная 8-кратная, необходимость которой определяется проектом |
|
|
б) инжекторная, газовый киоск |
5 |
12 |
12 |
|
8. Отделение механического обезвоживания осадка |
16 |
По расчету на влаговыделение |
|
|
9. Реагентное хозяйство для приготовления раствора: |
|
|
|
|
а) хлорного железа, сульфата аммония, едкого натра, хлорной извести |
16 |
6 |
6 |
|
б) известкового молока, суперфосфата, аммиачной селитры, соды кальцинированной, флокулянта |
16 |
3 |
3 |
|
10. Склады: |
|
|
|
|
а) бисульфита натрия |
5 |
6 |
6 |
|
б) извести, суперфосфата, аммиачной селитры (в таре), сульфата аммония, соды кальцинированной, флокулянта |
5 |
3 |
3 |
|
Примечания. 1. При наличии в производственных помещениях постоянного обслуживающего персонала температура воздуха в них должна быть принята по ГОСТ 12.1.005. 2. Воздухообмен следует принимать по расчету. При отсутствии данных о количестве вредностей, выделяющихся в воздух помещений, допускается определять количество вентиляционного воздуха по кратности воздухообмена основного производства, от которого поступают сточные воды. 3. Расчетные параметры воздухообмена от реагентного хозяйства по приготовлению растворов реагентов, не перечисленных в таблице 22, следует принимать по рекомендациям производителей. 4. При размещении в едином производственном помещении воздуходувных станций, цеха механического обезвоживания, реагентного хозяйства и склада реагентов допускается принимать кратность воздухообмена по наименьшему из показателей с устройством местных отсосов. Температуру воздуха для проектирования систем отопления следует принимать наибольшую. 5. Температуру воздуха в зданиях биофильтров (аэрофильтров) и аэротенков надлежит принимать не менее чем на 2 °C выше температуры сточной воды. |
|||
11.2.2. В отделении решеток и приемных резервуаров удаление воздуха необходимо предусматривать в размере 1/3 из верхней зоны и 2/3 из нижней зоны с удалением воздуха из-под перекрытий каналов и резервуаров. Кроме того, необходимо предусматривать отсосы от дробилок.
Применение на обязательной основе раздела 12 обеспечивает соблюдение требований Федерального закона от 30.12.2009 N 384-ФЗ "Технический регламент о безопасности зданий и сооружений" (Постановление Правительства РФ от 26.12.2014 N 1521).
12. ДОПОЛНИТЕЛЬНЫЕ ТРЕБОВАНИЯ К СИСТЕМАМ КАНАЛИЗАЦИИ В ОСОБЫХ ПРИРОДНЫХ И КЛИМАТИЧЕСКИХ УСЛОВИЯХ
12.1. Сейсмические районы
12.1.1. Конструкции зданий и сооружений необходимо проектировать в соответствии с требованиями СП 14.13330 и СП 31.13330.
12.1.2. При проектировании канализации промышленных предприятий и населенных пунктов, расположенных в сейсмических районах, следует предусматривать мероприятия, исключающие затопление территории сточными водами и загрязнение подземных вод и открытых водоемов в случае повреждения канализационных трубопроводов и сооружений.
12.1.3. При выборе схем канализации следует предусматривать децентрализованное размещение канализационных сооружений, если это не вызовет значительного усложнения и удорожания работ, а также следует принимать разделение технологических элементов очистных сооружений на отдельные секции.
12.1.4. При благоприятных местных условиях для станций производительностью менее 1000 м3/сут рекомендуется рассматривать как альтернативный метод естественной очистки сточных вод.
(п. 12.1.4 в ред. Изменения N 1, утв. Приказом Минстроя России от 30.12.2015 N 986/пр)
12.1.5. Заглубленные здания необходимо располагать на расстоянии не менее 10 м от других сооружений и не менее 12 наружных диаметров трубопровода от других трубопроводов.
12.1.6. В насосных станциях в местах присоединения трубопроводов к насосам необходимо предусматривать гибкие соединения, допускающие угловые и продольные взаимные перемещения концов труб.
12.1.7. Для предохранения территории канализуемого объекта от затопления сточными водами, а также загрязнения подземных вод и открытых водоемов (водотоков) при аварии необходимо от сети устраивать перепуски (под напором) в другие сети или аварийные резервуары без сброса в водные объекты.
12.1.8. Для коллекторов и сетей безнапорной и напорной канализации надлежит принимать все виды труб с учетом назначения трубопроводов, требуемой прочности труб, компенсационной способности стыков, а также результатов технико-экономических расчетов, при этом глубина заложения всех видов труб в любых грунтах не нормируется.
12.1.9. Прочность канализационных сетей необходимо обеспечивать выбором материала и класса прочности труб на основании статического расчета с учетом дополнительной сейсмической нагрузки, также определяемой расчетом.
12.1.10. Компенсационные способности стыков необходимо обеспечивать применением гибких стыковых соединений, муфтовых или раструбных соединений, определяемых расчетом.
(в ред. Изменения N 2, утв. Приказом Минстроя России от 24.05.2018 N 308/пр)
12.1.11. Напорные трубопроводы следует проектировать согласно СП 31.1330.
12.1.12. Не рекомендуется прокладывать коллекторы в насыщенных водой грунтах (кроме скальных, полускальных и крупнообломочных), в насыпных грунтах независимо от их влажности, а также на участках со следами тектонических нарушений.
12.2. Просадочные грунты
12.2.1. Объекты канализации, подлежащие строительству на просадочных, засоленных и набухающих грунтах, следует проектировать согласно СП 21.13330, с учетом СП 31.13330.
12.2.2. При грунтовых условиях II типа по просадочности следует применять при просадках грунтов от собственной массы:
до 20 см для самотечных трубопроводов - железобетонные и хризотилцементные безнапорные, керамические, полимерные, стеклокомпозитные трубы; то же для напорных трубопроводов - железобетонные напорные, хризотилцементные, полимерные, стеклокомпозитные трубы;
(в ред. Изменения N 2, утв. Приказом Минстроя России от 24.05.2018 N 308/пр)
свыше 20 см для самотечных трубопроводов - железобетонные напорные, хризотилцементные напорные, керамические, полимерные, стеклокомпозитные трубы; то же для напорных трубопроводов - полимерные, стеклокомпозитные, чугунные трубы.
(в ред. Изменения N 2, утв. Приказом Минстроя России от 24.05.2018 N 308/пр)
Допускается применение для напорных трубопроводов стальных труб на участках при возможной просадке грунта от собственной массы до 20 см и рабочем давлении свыше 0,9 МПа (9 кгс/см2), а также при возможной просадке свыше 20 см и рабочем давлении свыше 0,6 МПа (6 кгс/см2).
Требования к основаниям под безнапорные трубопроводы в грунтовых условиях I и II типов по просадочности при прокладке трубопроводов открытым и закрытым способами приведены в таблице 23.
Таблица 23
Требования к основаниям под безнапорные трубопроводы для различных грунтовых условий
|
Тип грунта по просадочности |
Характеристика территории |
Требования к основаниям под трубопроводы |
|
I |
Застроенная |
Без учета просадочности |
|
|
Незастроенная |
То же |
|
II |
Застроенная |
Без учета просадочности |
|
(просадка до 20 см) |
Незастроенная |
То же |
|
II |
Застроенная |
В защитном футляре |
|
(просадка св. 20 см) |
Незастроенная |
Без учета просадочности |
|
Примечания. 1. Незастроенная территория - территория, на которой в ближайшие 15 лет не предусматривается строительство населенных пунктов и объектов народного хозяйства. 2. Уплотнение грунта - трамбование грунта основания II типа по просадочности на глубину 0,5 - 0,8 м при просадке до 20 см, и 0,8 - 1 м при просадке более 20 см. 3. Поддон - водонепроницаемая конструкция с бортами высотой 0,1 - 0,15 м, на которую укладывается дренажный слой толщиной 0,1 м. 4. Требования к основаниям трубопроводов назначены для застройки, состоящей из зданий и сооружений, отнесенных ко 2-му классу ответственности. При застройке зданиями и сооружениями 1-го и 3-го классов ответственности указанные в таблице требования повышаются или снижаются. 5. Для углубления траншей под стыковые соединения трубопроводов следует применять трамбование грунта. 6. При закрытом способе во всех случаях должна выполняться тщательная заделка затрубного пространства протаскиваемой в земле трубы. Протаскивание водонесущего трубопровода в защитном водонепроницаемом футляре выполняется только с объемной фиксацией трубопровода и обустройством сброса возможных утечек в контрольный колодец. |
||
12.2.3. Стыковые соединения железобетонных, хризотилцементных, керамических, чугунных, полимерных, стеклокомпозитных труб на просадочных грунтах со II типом грунтовых условий должны быть податливыми за счет применения эластичных заделок.
(в ред. Изменения N 1, утв. Приказом Минстроя России от 30.12.2015 N 986/пр, Изменения N 2, утв. Приказом Минстроя России от 24.05.2018 N 308/пр)
При возможной просадке от собственной массы грунта свыше 10 см условие, при котором сохраняется герметичность безнапорного трубопровода вследствие горизонтальных перемещений грунта, определяется выражением
где Δlim - допустимая осевая компенсационная способность стыкового соединения труб, см, принимаемая равной половине глубины щели раструбных труб или длины муфты стыковых соединений;
Δk - необходимая из условия воздействия горизонтальных перемещений грунта, возникающих при просадках его от собственной массы, компенсационная способность стыкового соединения;
Δs - величина оставляемого при строительстве зазора между концами труб в стыке, принимаемая равной 1 см.
Необходимая из условия воздействия горизонтальных перемещений компенсационная способность стыкового соединения Δk, см, определяется по формуле
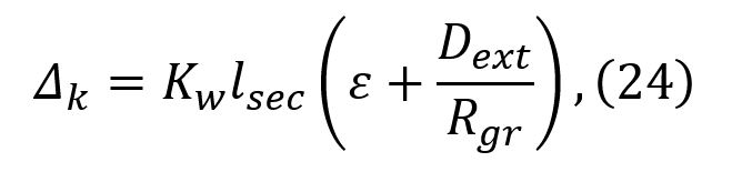
где Kw - коэффициент условий работы, принимаемый равным 0,6;
lsec - длина секции (звена) трубопровода, см;
ε - относительная величина горизонтального перемещения грунта при просадке его от собственной массы;
Dext - наружный диаметр трубопровода, м;
Rgr - условный радиус кривизны поверхности грунта при просадке его от собственной массы, м.
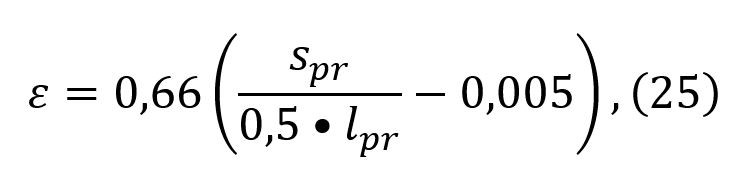
Относительная величина горизонтального перемещения ε, м, определяется по формуле
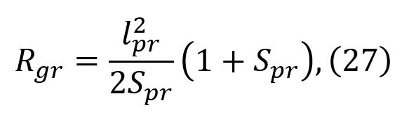
где Spr - просадка грунта от собственной массы, м;
lpr - длина криволинейного участка просадки грунта, м, от собственной массы, вычисляемая по формуле
где Hpr - величина просадочной толщи, м;
Kβ - коэффициент, принимаемый равным для однородных толщ грунтов - 1, для неоднородных - 1,7;
tg β - угол распространения воды в стороны от источника замачивания, принимаемый равным для супесей и лессов - 35°, для суглинков и глин - менее 50°.
Условный радиус кривизны поверхности грунта Rgr, м, вычисляется по формуле
12.3. Вечномерзлые грунты
12.3.1. Общие указания
12.3.1.1. При проектировании оснований под сети и сооружения следует руководствоваться принципами I или II использования вечномерзлых грунтов согласно СП 25.13330.
12.3.1.2. Использование грунтов оснований по принципу I следует принимать в случаях, если:
грунты характеризуются значительными осадками при оттаивании;
оттаивание грунтов вокруг трубопровода влияет на устойчивость расположенных вблизи зданий и сооружений, строящихся с сохранением основания в мерзлом состоянии.
12.3.1.3. Использование грунтов оснований по принципу II следует принимать в случаях, если:
грунты характеризуются незначительными осадками на всю расчетную глубину оттаивания;
здания и сооружения по трассе трубопроводов расположены на расстоянии, исключающем их тепловое влияние, или строятся с допущением оттаивания вечномерзлых грунтов в их основании.
12.3.1.4. В расчетных расходах следует учитывать холостой сброс воды для предохранения сетей от замерзания, величина которого определяется теплотехническим расчетом, но допускается не более 20% основного расхода.
12.3.1.5. Систему канализации следует проектировать неполную раздельную (с поверхностным отведением дождевых вод), при этом следует предусматривать максимально возможное совместное отведение бытовых и производственных сточных вод.
12.3.1.6. Способы прокладки трубопроводов в зависимости от объемно-планировочных решений застройки, мерзлотно-грунтовых условий по трассе, теплового режима трубопроводов и принципа использования вечномерзлых грунтов в качестве основания надлежит принимать:
подземный - в траншеях или каналах (проходных, полупроходных, непроходных);
наземный - на подсыпке с обвалованием;
надземный - по опорам, эстакадам, мачтам и другим с устройством пешеходных переходов в населенных пунктах при расположении на низких опорах.
В районах со слабыми водонасыщенными грунтами наружные сети канализации следует предусматривать напорными из стальных труб.
(в ред. Изменения N 1, утв. Приказом Минстроя России от 30.12.2015 N 986/пр)
12.3.1.7. При проектировании способа прокладки трубопроводов и подготовки оснований под них следует руководствоваться СП 31.13330.
12.3.1.8. Прокладка сетей канализации совместно с сетями хозяйственно-питьевого водопровода допускается только в том случае, когда под канализационные трубы выделен отдельный отсек канала, обеспечивающий отвод сточных вод в аварийный период.
12.3.1.9. При трассировке сетей канализации рекомендуется предусматривать присоединение объектов с постоянным выпуском сточных вод к начальным участкам сети.
12.3.1.10. На выпусках из зданий следует предусматривать комбинированную изоляцию труб (теплоаккумулирующую и тепловую).
12.3.1.11. Расстояние от центра смотровых колодцев до зданий и сооружений, возводимых по первому принципу строительства, следует принимать не менее 10 м.
12.3.1.12. Материал труб для напорных сетей канализации следует принимать как для водопроводных сетей.
Для самотечных сетей канализации необходимо применять трубы полимерные, стеклокомпозитные с муфтовыми, раструбными, муфтовыми блокирующими, раструбными блокирующими, муфтовыми резьбовыми, раструбными резьбовыми, муфтовыми клеевыми, раструбными клеевыми, муфтовыми резьбоклеевыми, раструбными резьбоклеевыми, фланцевыми соединениями, механическими (ремонтными) соединениями стяжной муфтой (хомутом), ламинированными соединениями встык и чугунные с резиновой уплотнительной манжетой.
(в ред. Изменения N 2, утв. Приказом Минстроя России от 24.05.2018 N 308/пр)
Стеклокомпозитные трубы с вышеперечисленными видами соединений применяются как для напорных, так и для самотечных сетей канализации.
(абзац введен Изменением N 2, утв. Приказом Минстроя России от 24.05.2018 N 308/пр)
12.3.1.13. Уклон тоннелей или каналов должен обеспечивать выпуск аварийных утечек в систему канализации.
При плоском рельефе местности для удаления аварийных утечек допускается предусматривать насосные станции.
12.3.1.14. Для исключения возможного нарушения вечномерзлого состояния грунтов в основании зданий выпуски канализации необходимо прокладывать в подземных каналах или надземно для зданий с проветриваемыми подпольями.
12.3.1.15. Устройство открытых лотков в колодцах на сетях канализации не допускается. Для чистки труб следует предусматривать закрытые ревизии.
12.3.1.16. Для предохранения от замерзания трубопроводов канализации следует предусматривать:
дополнительный сброс в сеть канализации теплой воды (отработанной или специально подогретой);
сопровождение участков трубопроводов, в наибольшей степени подверженных опасности замерзания, греющим кабелем или теплопроводом.
Выбор мер должен быть обоснован технико-экономическим расчетом.
12.3.2. Очистные сооружения
12.3.2.1. Строительные конструкции зданий и сооружений следует принимать согласно СП 25.13330 и СП 31.13330.
12.3.2.2. Необходимо учитывать низкую самоочищающую способность водных объектов, их полное перемерзание или резкое сокращение расходов в зимний период.
12.3.2.3. Для очистки сточных вод могут быть применены биологический, биолого-химический, физико-химический методы. Выбор метода очистки должен быть определен его технико-экономическими показателями, условиями сброса сточных вод в водные объекты, наличием транспортных связей и степенью освоения района, типом населенного места (постоянный, временный), наличием реагентов и т.п.
12.3.2.4. При выборе метода и степени очистки учитывать температуру сточных вод, холостые сбросы водопроводной воды, изменения концентрации загрязняющих веществ за счет разбавления.
Среднемесячную температуру сточных вод Tw, °C, при подземной прокладке канализационной сети определять по формуле
где Twot - среднемесячная температура воды в водоисточнике, °C;
у1 - эмпирическое число, зависящее от степени благоустройства населенного места. Для районов застройки, не имеющих централизованного горячего водоснабжения, у1 = 4-5 ; для районов, имеющих систему централизованного горячего водоснабжения в отдельных группах зданий, у1 = 7-9 ; для районов, где здания оборудованы централизованным горячим водоснабжением, у1 = 10-12 .
12.3.2.5. Расчетную температуру сточных вод в месте выпуска следует определять теплотехническим расчетом.
12.3.2.6. Биологическую очистку сточных вод следует предусматривать только в искусственных сооружениях.
12.3.2.7. Обработку осадка рекомендуется осуществлять в искусственных сооружениях.
12.3.2.8. Намораживание осадка с последующим его оттаиванием необходимо предусматривать в специальных накопителях при производительности очистных сооружений до 3 - 5 тыс. м3/сут. Высота слоя намораживания осадка не должна превышать глубину сезонного оттаивания.
12.3.2.9. Размещение очистных сооружений рекомендуется предусматривать в закрытых отапливаемых зданиях при производительности до 3 - 5 тыс. м3/сут. При большей производительности и соответствующих теплотехнических расчетах очистные сооружения могут располагаться на открытом воздухе с обязательным устройством над ними шатров, проходных галерей и т.п. При этом необходимо предусматривать мероприятия по защите сооружений, механических узлов и устройств от обледенения, ветро- и снегозащитные мероприятия (шатры, навесы, перегородки, проходные галереи между зданиями и сооружениями и т.п.).
12.3.2.10. Очистные сооружения следует применять полной либо высокой заводской готовности.
12.3.2.11. Установки физико-химической очистки предпочтительней для вахтовых и временных поселков, профилакториев и населенных пунктов, отличающихся большой неравномерностью поступления сточных вод, низкой температурой и концентрацией загрязняющих веществ.
12.3.2.12. Технологические процессы перекачки и очистки сточных вод должны быть максимально механизированными и автоматизированными.
12.3.2.13. Санитарно-защитные зоны от канализационных сооружений до границ жилой застройки, общественных зданий и предприятий пищевой промышленности следует принимать максимально допустимыми с учетом соответствующих мероприятий, обеспечивающих такое сокращение (размещение сооружений с подветренной стороны по отношению к застройке, устройство закрытых сооружений и т.д.).
12.4. Подрабатываемые территории
12.4.1. Общие указания
12.4.1.1. При проектировании наружных сетей и сооружений канализации на подрабатываемых территориях необходимо учитывать дополнительные воздействия от сдвижений и деформаций земной поверхности, вызываемых проводимыми горными выработками.
Назначение мероприятий по защите от воздействий горных выработок следует производить с учетом сроков их проведения под проектируемыми сетями и сооружениями согласно СП 21.13330 и СП 31.13330.
12.4.1.2. На подрабатываемых территориях не допускается размещение полей фильтрации.
12.4.1.3. Мероприятия по защите безнапорных трубопроводов канализации от воздействий деформирующегося грунта должны обеспечивать сохранение безнапорного режима, герметичность стыковых соединений, прочность отдельных секций.
12.4.1.4. При выборе мероприятий по защите и определению их объемов в разрабатываемом на стадии проектирования горно-геологическом обосновании должны быть дополнительно указаны:
сроки начала подработок площадки расположения сетей и сооружений канализации, а также отдельных участков внеплощадочных трубопроводов;
места пересечений трубопроводами линий выхода на поверхность (под наносы) тектонических нарушений, границ шахтных полей и охранных целиков;
территории возможных образований на земной поверхности крупных трещин с уступами и провалов.
12.4.2. Коллекторы и сети
12.4.2.1. Ожидаемые деформации земной поверхности для проектирования защиты безнапорных трубопроводов канализации должны быть заданы:
на площадях с известным на момент разработки проекта положением горных выработок - от проведения заданных очистных выработок;
на площадях, где планы проведения выработок неизвестны, - от условно задаваемых выработок по одному наиболее мощному из намечаемых к отработке пластов или выработок на одном горизонте;
в местах пересечений трубопроводами границ шахтных полей, охранных целиков и линий выхода на поверхность тектонических нарушений - суммарными от выработок в пластах, намечаемых к отработке в ближайшие 5 лет.
При определении объемов мероприятий по защите необходимо принимать максимальные значения ожидаемых деформаций с учетом коэффициента перегрузки согласно СП 21.13330.
12.4.2.2* Для безнапорной канализации допускается применять керамические, железобетонные, хризотилцементные, стеклокомпозитные и полимерные трубы, а также полимерные, стеклокомпозитные или железобетонные лотки и каналы.
(в ред. Изменения N 1, утв. Приказом Минстроя России от 30.12.2015 N 986/пр, Изменения N 2, утв. Приказом Минстроя России от 24.05.2018 N 308/пр)
Выбор типа труб необходимо производить в зависимости от состава сточных вод и горно-геологических условий строительной площадки или трассы трубопровода.
12.4.2.3. Для сохранения безнапорного режима в трубопроводе уклоны участков при проектировании продольного профиля необходимо назначать с учетом расчетных неравномерных оседаний (наклонов) земной поверхности исходя из условия
где ip- необходимый для сохранения безнапорного режима работы строительный уклон трубопровода;
- наименьший допустимый уклон трубопровода при
расчетном наполнении;
igp - расчетные наклоны земной поверхности на участке трубопровода, принимаемые согласно 12.4.2.3.
12.4.2.4. При невозможности обеспечить необходимый уклон безнапорного трубопровода, например, по условиям рельефа местности или в условиях заданной разности отметок начальной и конечной точек проектируемого трубопровода, а также у границ шахтных полей, охранных целиков и тектонических нарушений:
трассу трубопровода следует предусматривать в направлении больших уклонов или в зоне меньших ожидаемых наклонов земной поверхности;
увеличить диаметр трубопровода;
уменьшить расчетное наполнение трубопровода;
предусматривать станции перекачки сточных вод в тот же или другой трубопровод за пределами зоны неблагоприятных наклонов земной поверхности.
Станции перекачки сточных вод необходимо сооружать при строительстве трубопровода, если горные работы намечены на ближайшие 5 лет, и непосредственно перед горными работами при более поздних сроках их осуществления.
12.4.2.5. Стыковые соединения труб следует предусматривать податливыми, работающими как компенсаторы, за счет применения эластичных заделок.
Условие, при котором сохраняется герметичность стыковых соединений безнапорного трубопровода, определяется выражением
где Δlim - допускаемая (нормативная) осевая компенсационная способность податливого стыкового соединения труб, принимаемая для труб, см:
керамических - 4;
железобетонных раструбных - 5;
хризотилцементных муфтовых - 6;
стеклокомпозитных муфтовых - 6;
(абзац введен Изменением N 2, утв. Приказом Минстроя России от 24.05.2018 N 308/пр)
Δk - необходимая осевая компенсационная способность стыка, см, определяемая расчетом в зависимости от ожидаемых деформаций земной поверхности и геометрических размеров принимаемых труб;
Δs - величина оставляемого при строительстве зазора между концами труб в стыке, принимаемая в размере не менее 20% значения Δlim .
12.4.2.6. Несущая способность поперечного сечения трубы при растяжении Pp должна удовлетворять условию:
где PE - максимальное продольное усилие в отдельной секции трубы, вызываемое горизонтальными деформациями грунта;
Pi - максимальное продольное усилие в отдельной секции трубы, вызываемое появлением уступа на земной поверхности.
При несоблюдении условий (30) и (31) необходимо:
применить трубы меньшей длины или другого типа;
изменить трассу трубопровода, проложив ее в зоне меньших ожидаемых деформаций земной поверхности;
повысить несущую способность трубопровода устройством в его основании железобетонной постели (ложа) с разрезкой на секции податливыми швами.
12.4.2.7. Разность отметок входного и выходного колодцев дюкера следует назначать с учетом неравномерных оседаний земной поверхности, вызываемых проведением очистных горных выработок.
12.4.2.8. Расстояние между канализационными колодцами на прямолинейных участках трубопроводов канализации в условиях подрабатываемых территорий необходимо принимать не более 50 м.
12.4.2.9. При необходимости пересечения трубопроводом канализации площадей, где возможно образование локальных трещин с уступами или провалов, следует предусматривать напорные участки и надземную ее прокладку.
12.4.3. Очистные сооружения
12.4.3.1. Сооружения канализации следует проектировать по жестким и комбинированным конструктивным схемам. Размеры в плане жестких блоков, отсеков должны определяться расчетом в зависимости от величин деформаций земной поверхности и наличия конструктивных мер защиты, в том числе деформационных швов необходимой компенсационной способности.
12.4.3.2. Податливые конструктивные схемы допускаются только для сооружений канализации типа открытых емкостей, не имеющих стационарного оборудования.
12.4.3.3. Сооружения канализации, имеющие стационарное оборудование, следует проектировать только по жестким конструктивным схемам.
12.4.3.4. Сблокированные сооружения канализации различного функционального назначения должны быть разделены между собой деформационными швами.
12.4.3.5. Коммуникационные системы не должны иметь жесткой связи с сооружениями.
Уклоны лотков и каналов следует назначать с учетом расчетных деформаций земной поверхности.
Приложение А (обязательное) ОСНОВНЫЕ ТЕРМИНЫ И ОПРЕДЕЛЕНИЯ
Приложение А утратило силу с 26.06.2019. - Приказ Минстроя России от 25.12.2018 N 860/пр.
Приложение Б (обязательное) КАРТА ЗНАЧЕНИЙ ВЕЛИЧИН ИНТЕНСИВНОСТИ ДОЖДЯ
Приложение Б утратило силу с 26.06.2019. - Приказ Минстроя России от 25.12.2018 N 860/пр.
Приложение В (обязательное) КЛАССИФИКАЦИЯ РАЙОНОВ РОССИЙСКОЙ ФЕДЕРАЦИИ В ЗАВИСИМОСТИ ОТ КЛИМАТИЧЕСКИХ УСЛОВИЙ
Приложение В утратило силу с 26.06.2019. - Приказ Минстроя России от 25.12.2018 N 860/пр.
БИБЛИОГРАФИЯ
Раздел утратил силу с 26.06.2019. - Приказ Минстроя России от 25.12.2018 N 860/пр.
